Affidavit Of One And The Same Person Template
Affidavit Of One And The Same Person Template - If you are in the process of filing a petition with the. The template includes personal details,. Download and edit this template to declare that different names refer to one and the same person. Under some circumstances, names of the same individual may vary in different documents. As such, we execute this affidavit to attest to the truth of the above statement and for whatever lawful purpose it may serve. An affidavit of one and the same person is used to prove that the different names found in two or more documents refer to one and the same. This free, printable affidavit of one and the same confirms that the affiant is referred to by more than one name that might appear in a legal document. Start with our professional template and tailor to your needs. The affidavit establishes that the deponent's late. Draft an affidavit of one and the same person for germany.
Affidavit OF ONE AND THE SAME Dimarucot AFFIDAVIT OF ONE AND THE SAME
The template includes personal details,. The affidavit establishes that the deponent's late. Download and edit this template to declare that different names refer to one and the same person. Draft an affidavit of one and the same person for germany. An affidavit of one and the same person is used to prove that the different names found in two or.
Affidavit of One and the Same Person Template PDF
The template includes personal details,. Draft an affidavit of one and the same person for germany. This free, printable affidavit of one and the same confirms that the affiant is referred to by more than one name that might appear in a legal document. Download and edit this template to declare that different names refer to one and the same.
Sample Affidavit of One and the Same Person
As such, we execute this affidavit to attest to the truth of the above statement and for whatever lawful purpose it may serve. Draft an affidavit of one and the same person for germany. The template includes personal details,. This free, printable affidavit of one and the same confirms that the affiant is referred to by more than one name.
Affidavit of One and The Same Person 2021 Dfa Name PDF
Download and edit this template to declare that different names refer to one and the same person. Draft an affidavit of one and the same person for germany. The template includes personal details,. If you are in the process of filing a petition with the. This free, printable affidavit of one and the same confirms that the affiant is referred.
Affidavit One and The Same Person PDF
If you are in the process of filing a petition with the. The template includes personal details,. Start with our professional template and tailor to your needs. Download and edit this template to declare that different names refer to one and the same person. An affidavit of one and the same person is used to prove that the different names.
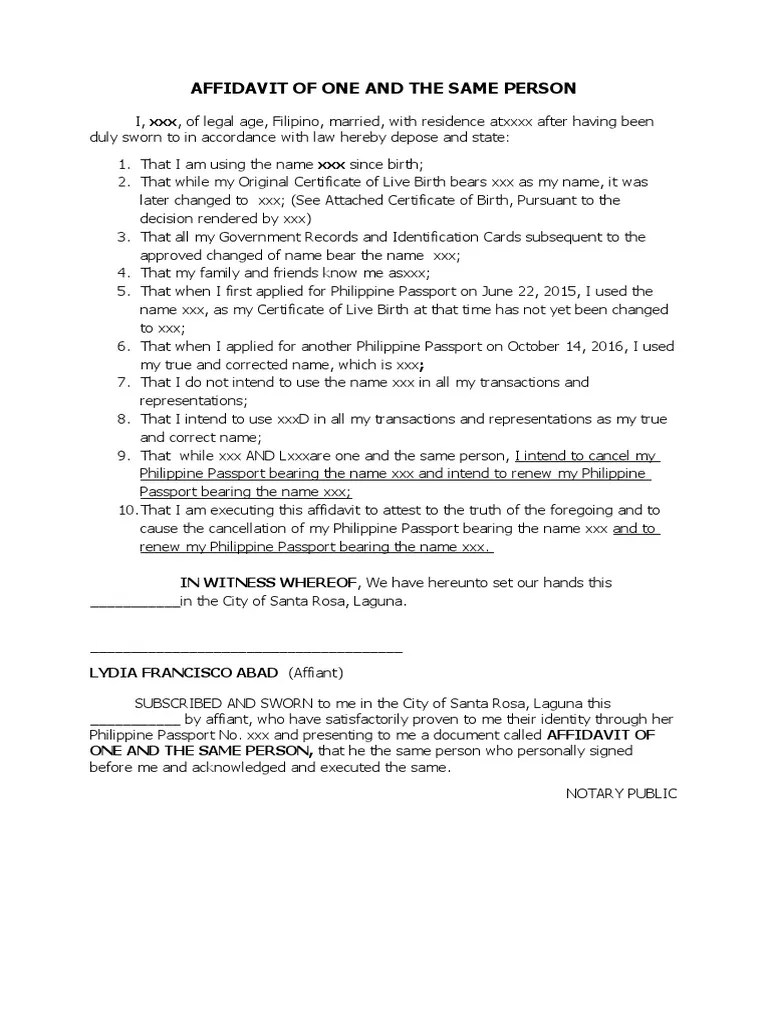
Affidavit of One and the Same Person REPUBLIC OF THE PHILIPPINES
Under some circumstances, names of the same individual may vary in different documents. Draft an affidavit of one and the same person for germany. As such, we execute this affidavit to attest to the truth of the above statement and for whatever lawful purpose it may serve. Start with our professional template and tailor to your needs. Download and edit.
Affidavit of One and The Same Person PDF Affidavit Legal Procedure
The affidavit establishes that the deponent's late. Draft an affidavit of one and the same person for germany. Start with our professional template and tailor to your needs. This free, printable affidavit of one and the same confirms that the affiant is referred to by more than one name that might appear in a legal document. If you are in.
Affidavit of One and The Same Person PDF
If you are in the process of filing a petition with the. The affidavit establishes that the deponent's late. Under some circumstances, names of the same individual may vary in different documents. An affidavit of one and the same person is used to prove that the different names found in two or more documents refer to one and the same..
Affidavit of One and the Same Person
If you are in the process of filing a petition with the. Draft an affidavit of one and the same person for germany. This free, printable affidavit of one and the same confirms that the affiant is referred to by more than one name that might appear in a legal document. Under some circumstances, names of the same individual may.
Affidavit of One and The Same Person PDF Affidavit Common Law
If you are in the process of filing a petition with the. Download and edit this template to declare that different names refer to one and the same person. As such, we execute this affidavit to attest to the truth of the above statement and for whatever lawful purpose it may serve. Draft an affidavit of one and the same.
If you are in the process of filing a petition with the. Under some circumstances, names of the same individual may vary in different documents. Start with our professional template and tailor to your needs. An affidavit of one and the same person is used to prove that the different names found in two or more documents refer to one and the same. Download and edit this template to declare that different names refer to one and the same person. This free, printable affidavit of one and the same confirms that the affiant is referred to by more than one name that might appear in a legal document. Draft an affidavit of one and the same person for germany. The affidavit establishes that the deponent's late. As such, we execute this affidavit to attest to the truth of the above statement and for whatever lawful purpose it may serve. The template includes personal details,.
As Such, We Execute This Affidavit To Attest To The Truth Of The Above Statement And For Whatever Lawful Purpose It May Serve.
An affidavit of one and the same person is used to prove that the different names found in two or more documents refer to one and the same. If you are in the process of filing a petition with the. The template includes personal details,. Under some circumstances, names of the same individual may vary in different documents.
Start With Our Professional Template And Tailor To Your Needs.
Draft an affidavit of one and the same person for germany. This free, printable affidavit of one and the same confirms that the affiant is referred to by more than one name that might appear in a legal document. Download and edit this template to declare that different names refer to one and the same person. The affidavit establishes that the deponent's late.